الانتقال إلى المحتوى
View in the app

A better way to browse. Learn more.

مجموعة مستخدمي أوراكل العربية

A full-screen app on your home screen with push notifications, badges and more.

To install this app on iOS and iPadOS
  1. Tap the Share icon in Safari
  2. Scroll the menu and tap Add to Home Screen.
  3. Tap Add in the top-right corner.
To install this app on Android
  1. Tap the 3-dot menu (⋮) in the top-right corner of the browser.
  2. Tap Add to Home screen or Install app.
  3. Confirm by tapping Install.

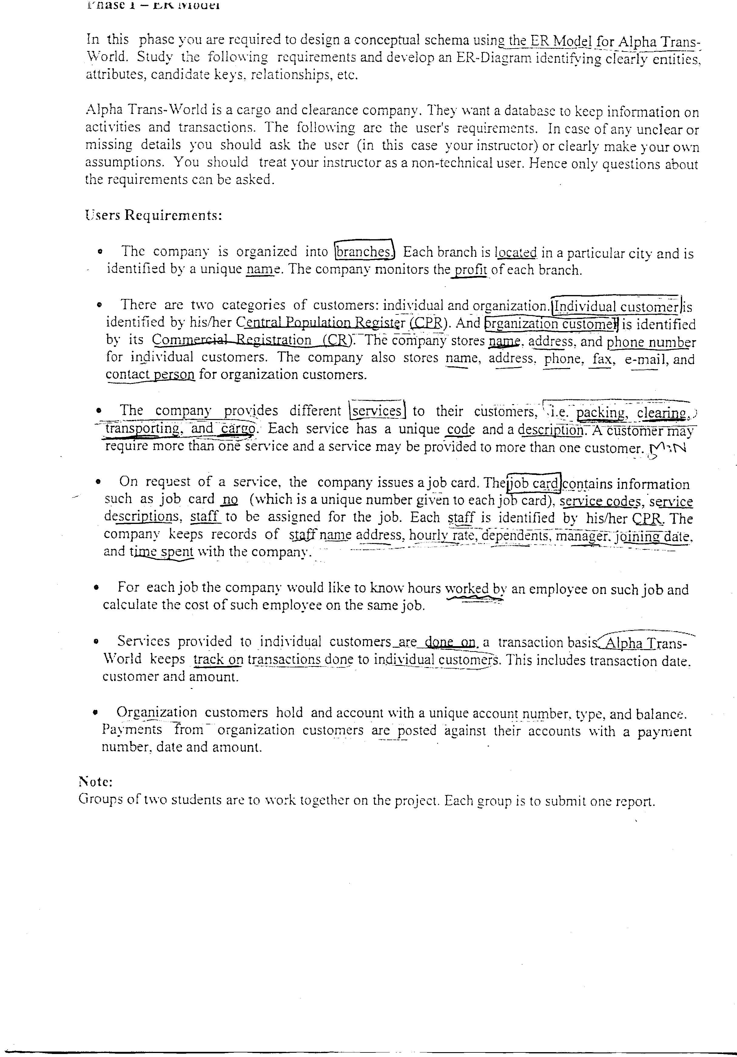
ممكن مسااعدة في Er

Featured Replies

بتاريخ:

السلام عليكم... :)

هذا ER Diagram for company

the entity is
Branch
individual customer
organization customer
services
Job card

هي الانتيتي الي طلعتها بس ما عرفت اكمل الاتربيوت لان يخربط فأتمنى انكم تساعدوني
هذا السؤال الاول والسؤال الثاني عبارة عن mapping الى الانتييز

ان شاء الله تساعدوني
وموفقين لكل خيرا ولكم جزيل الشكر

تحياتي

السؤال في المرفقات..

post-44864-1196520575_thumb.jpg

post-44864-1196520660_thumb.jpg

انضم إلى المناقشة

يمكنك المشاركة الآن والتسجيل لاحقاً. إذا كان لديك حساب, سجل دخولك الآن لتقوم بالمشاركة من خلال حسابك.

زائر
أضف رد على هذا الموضوع...

برجاء الإنتباه

بإستخدامك للموقع فأنت تتعهد بالموافقة على هذه البنود: سياسة الخصوصية

Account

Navigation

البحث

إعداد إشعارات المتصفح الفورية

Chrome (Android)
  1. Tap the lock icon next to the address bar.
  2. Tap Permissions → Notifications.
  3. Adjust your preference.
Chrome (Desktop)
  1. Click the padlock icon in the address bar.
  2. Select Site settings.
  3. Find Notifications and adjust your preference.